Hvis du er en matematikkstudent i avansert matte, har du sikkert lært om statistikk, sannsynlighet, brøk, geometri, algebra, trigonometri, differensialligninger, hva primtall er, og andre viktige matematiske begreper- for ikke å nevne pi! Pi et et viktig konsept i mattefaget, og noe man lærer tidlig for å blant annet finne omkrets og areal av sirkler.
Men hva er egentlig pi? I denne artikkelen skal vi lære mer om dette spennende matematiske konseptet- hva er det egentlig, og hvordan brukes det? I tillegg til historien bak pi, og hvordan det brukes i dag. Her er det bare å henge med mens vi tar deg med gjennom verdenen av pi!
Hva er pi?
Pi, også kalt Arkimedes' konstant, er et irrasjonelt tall (det er umulig å skrive
der p og q er heltall).

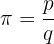
Pi representeres av den greske bokstaven π. Bokstaven π ble valgt fra det greske navnet περίμετρος som betyr omkrets. Tallet pi er definert som forholdet mellom omkretsen (o) av en sirkel og dens diameter (ø):

Alle sirkler er like, og det er nok å vite likhetsforholdet til å bevege seg fra en sirkel til en annen. Pi er omtrent lik 3,1416, men kan rundes opp til 3,14. Forskere og matematikere har imidlertid funnet mer enn 12 billioner desimaler av pi!
Du trenger heldigvis ikke bekymre deg, for det er ikke nødvendig å kunne alle sammen! Det holder å vite at pi er lik ca. 3,14, og å kjenne til pi sitt matematiske symbol (π).
Her er noen spennende ting å vite om pi:
-
Det er en av de viktigste konstantene i matematikk, og det brukes også mye i andre områder, som i fysikk og ingeniørfag. Det er mange studenter innenfor forskjellige studieretninger som derfor møter mye på pi i hverdagen!
-
Pi har fascinert matematikere og forskere helt siden det ble oppdaget.
-
14.mars regnes faktisk som pi-dagen (3/14 som datoen skriver på amerikansk), og mange elever, matematikere og andre markerer denne dagen over hele verden for å feire denne viktige matematiske konstanten. Mange serverer pai i anledning denne feiringen, siden pi på engelsk uttales likt som bakverket.
Matematikere og historien til Pi
Pi har blitt studert i tusenvis av år. Det er kjent at egypterne og babylonerne har undersøkt pi og anslår at pi først var 3,125. Det er helt utrolig at de var så nærme, ettersom de verken hadde hjelpemidler som kalkulator, datamaskiner eller internett som kunne hjelpe dem å finne svaret på likningen!
Tenk at denne konstanten som vi bruker hyppig den dag i dag, har vært diskutert i så mange år. Det hender at skoleelever på ulike trinn synes at det kan være vanskelig å forstå seg på pi. Om du vil lære mer om pi, men synes det er vanskelig på egenhånd, finnes det mange lærere som gjerne hjelper deg, for eksempel gjennom matteundervisning på nett.
Den greske matematikeren Arkimedes begynte å forske på pi allerede i 220 f.Kr. Eksperimentene hans startet med at han plasserte en firkant i en sirkel, og en firkant utenfor sirkelen. Det førte til et antall sifre som ga han et estimat for pi.
Deretter byttet han ut firkantene med femkanter, og tallområdet ble mindre og nærmere pi. Siden ble femkantene erstattet med sekskanter, for å få et enda mer presist estimat. Han fortsatte denne prosessen til han satt igjen med to desimaler (3,14).
Noen andre viktige historiske begivenheter som omhandler pi, er også da:
-
Den kinesiske matematikeren Liu Hui oppdaget pi med fire sifre ved å bruke en form med 3072 sider (3,141).
-
Den gresk-romerske forskeren Ptolemaios brukte metoden for å komme frem til 5 sifre (3,1415).
-
De kinesiske matematikerne Zu Chongzhi og Zu Gengzhi oppdaget pi med 7 sifre ved å bruke en form med 12 288 sider (3,141592).
-
Den moderne rekorden for pi-beregner ble satt av Peter Trueb med 22 459 157 718 361 sifre.
Pi er fortsatt et mysterium for mange forskere, og tallet fascinerer både fagfolk og nybegynnere som prøver å finne ut mer om det. Det er faktisk mange som forsker på pi selv den dag i dag! Det som er så gøy med matte, er at det nesten alltid finnes mer man kan forske på innen et tema.
Hvordan brukes pi?
Tallet pi har blitt brukt av matematikere siden antikken, først for å løse geometriske problemer, deretter i integrert kalkulus, og til slutt i beregningen for å finne et stadig høyere antall desimaler av pi. Du vil fremdeles finne bruk av pi i løpet av dine mattetimer og på mattekurs som for eksempel R2 kurs.
Rollen til pi i geometri
Geometriformler som involverer pi, er relatert til sirkler og kuler. Pi kan brukes til å regne ut mye spennende, og er definitivt noe du kommer til å møte på ofte i mattetimene gjennom hele skolegangen din.
Pi kan blant annet brukes til å beregne:
-
Området av en plate
-
Området av en ellipse eller halvakser
-
Området av en kule
-
Sideområdet til en sylinder
-
Sideområdet til en kjegle
Det kan også brukes til å regne:
-
Volumet av en ball
-
Volumet av en sylinder
-
Volumet av en kjegle

Hvis du synes det virker vanskelig å forstå pi og hvordan det brukes, så finnes det mange dyktige privatlærer matte som gjerne vil hjelpe deg med å nå målene dine. Det er mange fordeler med å benytte seg av en privatlærer!
Rollen til pi i sannsynlighet og statistikk
Sannsynlighet og statistikk som involverer pi er relatert til Cauchy-loven og i normal lov om forventning og standardavvik.
Matematikere har brukt π i sannsynlighetseksperimenter. Sannsynlighet kan også brukes til å oppnå en tilnærming av pi. Dette er spesielt tilfellet med eksperimentet kalt Buffons nål, som er en måte å finne verdien av pi.
Denne metoden er beskrevet av franskmannen Georges-Louis Leclerc i 1777. Han foreslår at hvis man kaster et visst antall knappenåler på på et ark som har tegnet opp streker som har lik lengde som nålen, og som går parallelt, vil sannsynligheten for at nålen krysser eller berører linjene være relatert til pi.
Tallet pi brukes også i matematikkformler med blant annet:
-
Tilbakevendende referansepunkt
-
Matematisk logikk
-
Sekvenser
-
Integrasjon
Pi brukes overalt i dagliglivet
Pi brukes faktisk mye i hverdagen, gjerne helt uten at man egentlig er klar over det! Visste du for eksempel at:
-
En klokke fungerer gjennom et ursystem med tenner som går rundt og rundt. Tennenes størrelse defineres av den konstante avstanden mellom to punkter, hvor tallet pi har vært et viktig verktøy i beregningen.
-
Det elektriske systemet ditt fungerer sannsynligvis på vekselstrøm, noe som pi også er involvert i.
-
Også bilen din baserer seg på antall hjulsvingninger noen få meter. Dette er noe som avhenger av hjulets omkrets, noe som igjen selvfølgelig også avhenger av tallet pi.
Du finner altså matematikk overalt, som for eksempel i det gylne snitt. Denne listen vil bare fortsette og fortsette, men disse punktene er nok til å fastslå at tallet pi underbygger påstanden om at matematikk er en virkelig vakker disiplin.

Fascinasjonen for pi
Å memorere sifrene i tallet pi har nærmest blitt en besettelse for mange mennesker. Daniel Tammet, resiterte hele 22.514 desimaler i 2004. Denne rekorden ble slått av Lu Chao i 2005, som hadde memorert og resiterte 67.890 desimaler. Ti år senere (2015) kunne man i Guinness rekordbok lese om indiske Rajveer Meena som klarte å resiterte 70.000 sifre av pi.
En helt annen fascinasjon er av perfekte tall i matematikken! Les mer i våre andre artikler for å få kjennskap til begrepene.
I Japan var det noen som klarte å resitere 100.000 pi-desimaler, men denne fremførelsen ble ikke validert som en av rekordene i Guinness rekordbok. En ukrainsk nevrokirurg i 2009 hevdet at han visste 30 millioner desimaler, men denne rekorden ble heller ikke validert. Det ville faktisk tatt mer enn et år å resitere alle disse tallene!
Artige måter å lære matematikk
Det er vel ingen tvil om at du lærer aller best og mest når du har det gøy. Alle har noe som de liker å gjøre, så dette kan være fint å kombinere med matematikk, for eksempel gjennom et mattespill som Sudoku.
Du kan også ta i bruk helt andre måter å studere matematikk, alt ettersom hva du foretrekker. Uansett om målet er å forstå hvordan tallet 0 brukes i matte, hvordan man finner arealet til en sirkel, eller kanskje noe helt annet. Du kan for eksempel:
-
Se på mattevideoer på YouTube
-
Bruk nettbaserte mattespill
-
Bli med i en studiegruppe for matematikk, ofte lærer man bedre sammen med andre!
-
Ta notater i lærebøkene dine for å huske viktige ting
-
Se etter ideer til å lage en morsom studieplan, og formidle dette til privatlæreren din, hvis du har en
Å følge kompetansemålene for klassetrinnet ditt kan være veldig nyttig for å sikre at du ikke havner bakpå i faget. Men å huske kvadratrøtter og kjernestandardene vil nok ikke være nok til å få deg hele veien til toppen.
Det er likevel viktige å ikke la utfordringer demotivere deg, uansett om du lærer om pi eller hvordan man bruker bokstaver i matematikken. Ha det gøy med faget, for det finnes virkelig ingen grenser for hvordan du kan lære!
Oppsummer med AI:









